色差仪在使用CIELab颜色空间进行颜色测量时,可以给出相应的颜色参数,其中就包括色调角Hab和色调差△H*ab。h(色调角):用于表示颜色的色调。以角度来度量,不同的角度对应不同的色调。通常规定0°(或360°)表示红色,90°表示黄色,180°表示绿色,270°表示蓝色等。在颜色分类和描述中,h值是确定颜色基本色调的关键指标。
色差仪在使用CIELab颜色空间进行颜色测量时,可以给出相应的颜色参数,其中就包括色调角Hab和色调差△H*ab。分光测色仪的色调角h是CIELab颜色空间中用于量化颜色色调属性的关键参数。

h(色调角):用于表示颜色的色调。以角度来度量,不同的角度对应不同的色调。通常规定0°(或360°)表示红色,90°表示黄色,180°表示绿色,270°表示蓝色等。在颜色分类和描述中,h值是确定颜色基本色调的关键指标。
L(亮度):与CIELab色彩空间中的L含义一致,表示颜色的明亮程度。取值范围从0(绝对黑色)到100(绝对白色)。在颜色对比和质量控制方面,L值是衡量颜色明亮程度的重要依据。
C(色度/彩度):表示颜色的鲜艳程度或饱和度。C值越大,颜色越鲜艳、浓烈,越接近纯色;C值越小,颜色越接近灰色,饱和度越低。在色彩设计和搭配中,C值用于控制颜色的视觉冲击力。
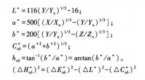
根据CIELAB计算公式得到L*、a*、b*值,一组L*、a*、b*数据对应CIELAB色空间中的一个点,为了表述任意2种颜色在色空间的相对位置,引入了饱和度C*ab、色调角hab和色调差△H*ab。
CIEL*a*b*(CIELAB)色空间方程如下式所示。

经过换算后得到下式:

式中,X、Y、Z——物体的三刺激值,无单位;Xn、Yn、Zn——参比白色的三刺激值,无单位;L*——明度,无单位;a*、b*——色度坐标,无单位;C*ab——饱和度,无单位;hab——色调角,(°);△E*ab——色差值,无单位;△H*ab——色调差,无单位;C*S——标准样的饱和度,无单位;C*B——批次样的饱和度,无单位。
因此,色调角的写法是hab取值范围为0°~360°;色调差的写法是△H*ab,单独的H*是不存在的。色调差△H*ab;可以通过标准样的饱和度C*S、批次样的饱和度C*B以及色调角差△hab快速计算出来。
本质属性不同:色调角(hab)是描述单一颜色色调的 “绝对参数”,表征该颜色在色环上的具体位置;色调差(△H*ab)是衡量两种颜色色调差异的 “相对参数”,反映二者在色调上的偏离程度。
符号与存在形式:色调角的标准符号为 hab,取值范围 0°~360°;色调差的标准符号为△Hab,不存在单独的 “H” 参数,其意义仅在于描述两种颜色的相对差异。
应用场景侧重:hab 多用于颜色的分类、标准化描述(如 “该样品色调角为 30°,属于红色系”);△Hab 则多用于质量控制、工艺优化,判断两种颜色的色调是否符合预期差异(如 “两样品△Hab 为 2.5,色调差异在合格范围内”)。
上一页 : 色差仪如何管控粉末涂料色差?
下一页 : 为何选择色差仪SP64 而非 SP60?
Copyright © 2025 广州保来发仪器有限公司 版权所有 粤ICP备2022072934号
  xml地图